Transformers have transformed Natural Language Processing (NLP) by driving advancements in machine translation and text generation. Introduced in the 2017 paper “Attention Is All You Need,” this architecture replaced traditional recurrent models with self-attention mechanisms, boosting efficiency and performance.
Why are Transformers so effective? How do they achieve accuracy in language processing? This blog will explore their components—self-attention, multi-head attention, and positional encoding—to understand their role in today’s language models.
Transformers have revolutionized natural language processing with their use of self-attention mechanisms. In this blog, we will study the key components of transformers to understand how they have become the basis of the state of the art in different tasks.
Introduction: Attention Is All You Need
The Transformer architecture was first introduced in the 2017 paper “Attention is All You Need” by researchers at Google. Unlike previous sequence models such as RNNs, Transformer relies entirely on self-attention to model dependencies in sequential data like text
Remarkably, this simple change led to major improvements in machine translation quality over existing methods. Since then, Transformers have been applied successfully to diverse NLP tasks like text generation, summarization, and question-answering. Their versatility has even led to applications in computer vision.
But what exactly is self-attention and why is it so effective? Let’s explore this.
The Limitations of Recurrent Neural Networks – RNNs
Recurrent neural networks (RNNs) used to be the dominant approach for modeling sequences. An RNN processes textual data incrementally, maintaining a “memory” of the previous context. For example, to predict the next word in a sentence, an RNN model would incorporate information about all the preceding words.
However, RNNs have certain limitations. They process data sequentially, making parallelization difficult. More critically, they struggle to learn long-range dependencies because the information gets diluted over many steps of time. Attention mechanisms were proposed to mitigate this issue.
Why Use a Transformer Model?
The transformer architecture has enabled the development of new models that can be trained on large datasets and significantly outperform recurrent neural networks like LSTMs. These new models are utilized for tasks like sequence classification, question answering, language modeling, named entity recognition, summarization, and translation.
Let’s examine the key components of transformers to understand how they have become the foundation for state-of-the-art performance on different NLP tasks.
Learn how to expand your knowledge with R programming books to upskill NLP
Transformer design
A transformer consists of an encoder and a decoder. The encoder’s role is to encode the inputs (i.e. sentences) into a state, often containing multiple tensors. This state is then passed to the decoder to generate the outputs.
In machine translation, the encoder converts a source sentence, e.g. “Hello world“, into a state, such as a vector, that captures its semantic meaning.
The decoder then utilizes this state to produce the translated target sentence, e.g. “Bonjour le monde.” Both the encoder and decoder primarily employ Multi-Head Attention and Feedforward Networks, which are the focus of this article.
Key Transformer Components
1. Input embedding
Embedding aims to create a vector representation of words where words with similar meanings will be close in terms of Euclidean distance. For instance, the words “bathroom” and “shower” are related to the same concept, so their word vectors are close in Euclidean space as they convey similar meanings.
For the encoder, the authors opted for an embedding size of 512 (i.e. each word is represented by a 512-dimensional vector).
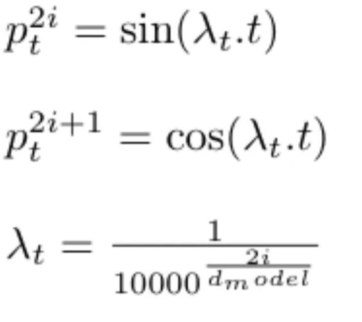
2. Positional encoding
The position of a word plays a crucial role in understanding the sequence we want to model.
Therefore, we add positional information about the word’s location in the sequence to its vector. The authors used the following sinusoidal.

We will explain positional encoding in more detail with an example.
We note the position of each word in the sequence.
We define dmodel = 512, which represents the size of the embedding vector of each word (i.e. the vector dimension). We can now rewrite the two positional encoding equations as:
We can see that the wavelength (i.e. frequency) λt decreases as the dimension increases, this forms a progression along the wave from 2pi to 10000.2pi.
In this model, the absolute positional information of a word in a sequence is added directly to its initial vector. For this, the positional encoding must have the same size dmodel as the initial word vector.
3. Attention mechanism
- Scaled Dot-Product Attention
Let’s explain the attention mechanism. The key goal of attention is to estimate the relative relevance of the keywords compared to the query word for the same entity. For this, the attention mechanism takes a query vector Q representing a word, the keys K comprising all other words in the sentence, and values V representing the word vectors.
In our case, V = Q (for the two self-attention layers). In other words, the attention mechanism provides the significance of a word in a given sentence.
When we compute the normalized dot product between the query and the keys, we get a tensor that represents the relative importance of each other word for the query. To go deeper into mathematics, we can try to understand why the authors used a dot product to calculate the relation between two words.
A word is represented by a vector in Euclidian space, in this case, a vector of size 512. When computing the dot product between Q and KT, we calculate the product between Q’s orthogonal projection onto K. In other words, we estimate the alignment between the query and keyword vectors, returning a weight for each word in the sentence.
We then normalize by dk to counteract large Q and K magnitudes which can push the softmax function into regions with tiny gradients. The softmax function regularizes the terms and rescales them between 0 and 1 (i.e., converts the dot product to a probability distribution), with the goal of normalizing all weights between 0 and 1.
Finally, we multiply the weights (i.e., importance) by the values V to reduce irrelevant words and focus on the most significant words.
- Multi-Head Attention
The key idea is that attention is applied multiple times in parallel on different projections of the input queries, keys, and values. This allows the model to learn different types of dependencies between the input words.
The input queries (Q), keys (K), and values (V) are each linearly projected h times into smaller subspaces. For example, h=8 times into 64-dimensional spaces.
Attention is then applied in each of these h projected subspaces in parallel, yielding h different attention outputs.
These h outputs are concatenated and linearly projected again to get the final values. The projections allow the model to focus on different positional and semantic relationships between words since each projected subspace captures different information.
Doing this in parallel (multi-head) instead of sequentially improves efficiency.
The projection matrices are learned during training to discover the most useful projections. So, in summary, multi-head attention applies the attention mechanism in multiple parallel subspaces to learn different types of dependencies between words in an efficient way. Let’s dive into the mechanics of encoder-decoder architecture.

In this section, we’ll explain how the encoder and decoder work together to translate an English sentence into a French one, step by step.
1. Encoder
- Convert a sequence of tokens to a sequence of vectors by using embeddings.
- Add position information in each word vector.
The key advantage of recurrent neural networks is their knack for understanding relationships between sequences and remembering information. On the other hand, Transformers employ positional encoding to factor in where words are in a sequence.
- Apply Multi-Head Attention
- Use Feed Forward Network
2. Decoder
- Utilize embeddings to transform a French sentence into vectors.
- Add positional details within each word vector.

- Apply Multi-Head Attention
- Apply Feed Forward Network
- Apply Multi-Head Attention to the encoder output.
We can observe that the Transformer combines the encoder’s output with the decoder’s input. This enables it to discern the relationship between the vectors that encode the English and French sentences.
- Apply the Feed Forward Network again.
- Compute the probability for the next word by using linear + SoftMax block. The decoder returns the highest probability as the next word at the output.
In our case, the next word after “Je” is “suis”.
Final Thoughts
The transformer model outperforms all the models on different benchmarks also there was no difference seen between the translation provided by the algorithm and by humans.
Transformers are a major advance in NLP, they exceed RNN by having a lower training cost allowing to train models on larger corpora. Even today, transformers remain the basis of state-of-the-art models such as BERT, Roberta, XLNET, and GPT.
References:
https://github.com/hkproj/transformer-from-scratch-notes
http://jalammar.github.io/illustrated-transformer/

















